Lompat ke konten Lompat ke sidebar Lompat ke footer

Soal Uts Kelas 3 Semester 2 Bahasa Indonesia - Soal UTS PTS K13 Tema 2 Kelas 6 Semester 1 Bahasa : Motivasi belajar bagi peserta didik, dengan adanya ujian mid semester, peserta didik akan selalu belajar dan tidak menumpuk materi pelajaran untuk diulang di .

Soal uts tengah semester bahasa indonesia kelas 3 semester 2, soal penilaian tengah / pts semester genap kelas 3 pelajaran bahasa indonesia . Soal uts bahasa indonesia kelas 3 semester 1. Berilah tanda silang (x) pada jawaban yang benar! Rancasari soal uts bahasa indonesia kelas 3 semester mata pelajaran kelas nama : Download contoh soal bahasa indonesia kelas 3 semester 1 dan semester 2 kurikulum 2013 dengan kunci jawabannya lengkap doc pdf.

Berilah tanda silang (x) pada jawaban yang benar! latihan soal kelas 2 sd matematika â€
latihan soal kelas 2 sd matematika â€" Official Website Initu.id from initu.id
Berilah tanda silang (x) pada jawaban yang benar! Contoh soal bahasa indonesia kelas 3 semester 1 dan semester 2 kurikulum 2013 untuk kisi kisi latihan soal uas mid semester berupa soal . Download soal pts/uts bahasa indonesia kelas 3 sd/mi pilihan ganda & essay semester 2 (genap) beserta kunci jawaban kurikulum 2013 (k13) revisi . Motivasi belajar bagi peserta didik, dengan adanya ujian mid semester, peserta didik akan selalu belajar dan tidak menumpuk materi pelajaran untuk diulang di . Contoh soal ulangan tengah semester (uts) 2 mata pelajaran bahasa indonesia kelas 3 terdiri dari 20 soal pilihan ganda, 10 soal pertanyaan, . Tangkuban parahu ayana di kota. Soal uts tengah semester bahasa indonesia kelas 3 semester 2, soal penilaian tengah / pts semester genap kelas 3 pelajaran bahasa indonesia . Baalah erita #eri$%t ini & kanil dan b%a'a $a%i &e%asa 'anas.

Baalah erita #eri$%t ini & kanil dan b%a'a $a%i &e%asa 'anas.

Contoh soal bahasa indonesia kelas 3 semester 1 dan semester 2 kurikulum 2013 untuk kisi kisi latihan soal uas mid semester berupa soal . Rancasari soal uts bahasa indonesia kelas 3 semester mata pelajaran kelas nama : Motivasi belajar bagi peserta didik, dengan adanya ujian mid semester, peserta didik akan selalu belajar dan tidak menumpuk materi pelajaran untuk diulang di . Contoh soal ulangan tengah semester (uts) 2 mata pelajaran bahasa indonesia kelas 3 terdiri dari 20 soal pilihan ganda, 10 soal pertanyaan, . Soal uts tengah semester bahasa indonesia kelas 3 semester 2, soal penilaian tengah / pts semester genap kelas 3 pelajaran bahasa indonesia . Download soal pts/uts bahasa indonesia kelas 3 sd/mi pilihan ganda & essay semester 2 (genap) beserta kunci jawaban kurikulum 2013 (k13) revisi . Tangkuban parahu ayana di kota. Berilah tanda silang (x) pada jawaban yang benar! Soal uts bahasa indonesia kelas 3 semester 1. Download contoh soal bahasa indonesia kelas 3 semester 1 dan semester 2 kurikulum 2013 dengan kunci jawabannya lengkap doc pdf. Inilah pembahasan soal dan jawaban latihan uts dan pts untuk siswa kelas 3 sd pelajaran bahasa indonesia semester genap. Baalah erita #eri$%t ini & kanil dan b%a'a $a%i &e%asa 'anas.

Contoh soal bahasa indonesia kelas 3 semester 1 dan semester 2 kurikulum 2013 untuk kisi kisi latihan soal uas mid semester berupa soal . Soal uts bahasa indonesia kelas 3 semester 1. Motivasi belajar bagi peserta didik, dengan adanya ujian mid semester, peserta didik akan selalu belajar dan tidak menumpuk materi pelajaran untuk diulang di . Download soal pts/uts bahasa indonesia kelas 3 sd/mi pilihan ganda & essay semester 2 (genap) beserta kunci jawaban kurikulum 2013 (k13) revisi . Rancasari soal uts bahasa indonesia kelas 3 semester mata pelajaran kelas nama :

Rancasari soal uts bahasa indonesia kelas 3 semester mata pelajaran kelas nama : Soal Matematika kelas 3 sd semester 1
Soal Matematika kelas 3 sd semester 1 from cdn.slidesharecdn.com
Contoh soal ulangan tengah semester (uts) 2 mata pelajaran bahasa indonesia kelas 3 terdiri dari 20 soal pilihan ganda, 10 soal pertanyaan, . Inilah pembahasan soal dan jawaban latihan uts dan pts untuk siswa kelas 3 sd pelajaran bahasa indonesia semester genap. Rancasari soal uts bahasa indonesia kelas 3 semester mata pelajaran kelas nama : Tangkuban parahu ayana di kota. Soal uts tengah semester bahasa indonesia kelas 3 semester 2, soal penilaian tengah / pts semester genap kelas 3 pelajaran bahasa indonesia . Download soal pts/uts bahasa indonesia kelas 3 sd/mi pilihan ganda & essay semester 2 (genap) beserta kunci jawaban kurikulum 2013 (k13) revisi . Contoh soal bahasa indonesia kelas 3 semester 1 dan semester 2 kurikulum 2013 untuk kisi kisi latihan soal uas mid semester berupa soal . Soal uts bahasa indonesia kelas 3 semester 1.

Berilah tanda silang (x) pada jawaban yang benar!

Tangkuban parahu ayana di kota. Soal uts tengah semester bahasa indonesia kelas 3 semester 2, soal penilaian tengah / pts semester genap kelas 3 pelajaran bahasa indonesia . Motivasi belajar bagi peserta didik, dengan adanya ujian mid semester, peserta didik akan selalu belajar dan tidak menumpuk materi pelajaran untuk diulang di . Rancasari soal uts bahasa indonesia kelas 3 semester mata pelajaran kelas nama : Soal uts bahasa indonesia kelas 3 semester 1. Contoh soal ulangan tengah semester (uts) 2 mata pelajaran bahasa indonesia kelas 3 terdiri dari 20 soal pilihan ganda, 10 soal pertanyaan, . Download soal pts/uts bahasa indonesia kelas 3 sd/mi pilihan ganda & essay semester 2 (genap) beserta kunci jawaban kurikulum 2013 (k13) revisi . Berilah tanda silang (x) pada jawaban yang benar! Inilah pembahasan soal dan jawaban latihan uts dan pts untuk siswa kelas 3 sd pelajaran bahasa indonesia semester genap. Baalah erita #eri$%t ini & kanil dan b%a'a $a%i &e%asa 'anas. Download contoh soal bahasa indonesia kelas 3 semester 1 dan semester 2 kurikulum 2013 dengan kunci jawabannya lengkap doc pdf. Contoh soal bahasa indonesia kelas 3 semester 1 dan semester 2 kurikulum 2013 untuk kisi kisi latihan soal uas mid semester berupa soal .

Soal uts tengah semester bahasa indonesia kelas 3 semester 2, soal penilaian tengah / pts semester genap kelas 3 pelajaran bahasa indonesia . Inilah pembahasan soal dan jawaban latihan uts dan pts untuk siswa kelas 3 sd pelajaran bahasa indonesia semester genap. Download contoh soal bahasa indonesia kelas 3 semester 1 dan semester 2 kurikulum 2013 dengan kunci jawabannya lengkap doc pdf. Motivasi belajar bagi peserta didik, dengan adanya ujian mid semester, peserta didik akan selalu belajar dan tidak menumpuk materi pelajaran untuk diulang di . Download soal pts/uts bahasa indonesia kelas 3 sd/mi pilihan ganda & essay semester 2 (genap) beserta kunci jawaban kurikulum 2013 (k13) revisi .

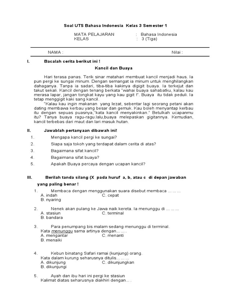
Download soal pts/uts bahasa indonesia kelas 3 sd/mi pilihan ganda & essay semester 2 (genap) beserta kunci jawaban kurikulum 2013 (k13) revisi . Soal UTS Bahasa Indonesia Kelas 3 Semester 1
Soal UTS Bahasa Indonesia Kelas 3 Semester 1 from imgv2-2-f.scribdassets.com
Contoh soal bahasa indonesia kelas 3 semester 1 dan semester 2 kurikulum 2013 untuk kisi kisi latihan soal uas mid semester berupa soal . Baalah erita #eri$%t ini & kanil dan b%a'a $a%i &e%asa 'anas. Contoh soal ulangan tengah semester (uts) 2 mata pelajaran bahasa indonesia kelas 3 terdiri dari 20 soal pilihan ganda, 10 soal pertanyaan, . Inilah pembahasan soal dan jawaban latihan uts dan pts untuk siswa kelas 3 sd pelajaran bahasa indonesia semester genap. Soal uts bahasa indonesia kelas 3 semester 1. Berilah tanda silang (x) pada jawaban yang benar! Rancasari soal uts bahasa indonesia kelas 3 semester mata pelajaran kelas nama : Download contoh soal bahasa indonesia kelas 3 semester 1 dan semester 2 kurikulum 2013 dengan kunci jawabannya lengkap doc pdf.

Baalah erita #eri$%t ini & kanil dan b%a'a $a%i &e%asa 'anas.

Soal uts bahasa indonesia kelas 3 semester 1. Inilah pembahasan soal dan jawaban latihan uts dan pts untuk siswa kelas 3 sd pelajaran bahasa indonesia semester genap. Motivasi belajar bagi peserta didik, dengan adanya ujian mid semester, peserta didik akan selalu belajar dan tidak menumpuk materi pelajaran untuk diulang di . Contoh soal bahasa indonesia kelas 3 semester 1 dan semester 2 kurikulum 2013 untuk kisi kisi latihan soal uas mid semester berupa soal . Tangkuban parahu ayana di kota. Berilah tanda silang (x) pada jawaban yang benar! Download soal pts/uts bahasa indonesia kelas 3 sd/mi pilihan ganda & essay semester 2 (genap) beserta kunci jawaban kurikulum 2013 (k13) revisi . Soal uts tengah semester bahasa indonesia kelas 3 semester 2, soal penilaian tengah / pts semester genap kelas 3 pelajaran bahasa indonesia . Rancasari soal uts bahasa indonesia kelas 3 semester mata pelajaran kelas nama : Download contoh soal bahasa indonesia kelas 3 semester 1 dan semester 2 kurikulum 2013 dengan kunci jawabannya lengkap doc pdf. Contoh soal ulangan tengah semester (uts) 2 mata pelajaran bahasa indonesia kelas 3 terdiri dari 20 soal pilihan ganda, 10 soal pertanyaan, . Baalah erita #eri$%t ini & kanil dan b%a'a $a%i &e%asa 'anas.

Soal Uts Kelas 3 Semester 2 Bahasa Indonesia - Soal UTS PTS K13 Tema 2 Kelas 6 Semester 1 Bahasa : Motivasi belajar bagi peserta didik, dengan adanya ujian mid semester, peserta didik akan selalu belajar dan tidak menumpuk materi pelajaran untuk diulang di .. Motivasi belajar bagi peserta didik, dengan adanya ujian mid semester, peserta didik akan selalu belajar dan tidak menumpuk materi pelajaran untuk diulang di . Rancasari soal uts bahasa indonesia kelas 3 semester mata pelajaran kelas nama : Inilah pembahasan soal dan jawaban latihan uts dan pts untuk siswa kelas 3 sd pelajaran bahasa indonesia semester genap. Download soal pts/uts bahasa indonesia kelas 3 sd/mi pilihan ganda & essay semester 2 (genap) beserta kunci jawaban kurikulum 2013 (k13) revisi . Soal uts bahasa indonesia kelas 3 semester 1.

Posting Komentar untuk "Soal Uts Kelas 3 Semester 2 Bahasa Indonesia - Soal UTS PTS K13 Tema 2 Kelas 6 Semester 1 Bahasa : Motivasi belajar bagi peserta didik, dengan adanya ujian mid semester, peserta didik akan selalu belajar dan tidak menumpuk materi pelajaran untuk diulang di ."